INFORMACIÓN
SS49E Sensor Efecto Hall es un sensor magneto-resistivo que opera con base en un campo magnético proporcionado por un imán permanente o un electroimán sin la necesidad de contacto físico. Este sensor brinda un voltaje de salida en función de su voltaje de entrada y varía en proporción con la fuerza del campo magnético que detecta, también es un dispositivo de bajo consumo de energía ya que puede manejar voltajes de entrada desde 2.7 V y corrientes de operación de 6 mA a 5 V.
SS49E Sensor Efecto Hall posee circuitería interna que reduce el ruido generado en la salida y hace innecesario el uso de filtros externos, posee una variante del encapsulado TO-92 llamado Flat TO-92 o TO-92S que es más pequeño y permite poner más componentes en el circuito. Es capaz de detectar hacia donde va dirigido el campo magnético y es ideal para censar las revoluciones de un motor, control de bombas en equipos pesados y electrodomésticos, detección de desplazamiento lineal o angular, censar la posición del manubrio en bicicletas electrónicas y scooters, entre muchas otras aplicaciones,
ESPECIFICACIONES Y CARACTERÍSTICAS
- Modelo: SS49E
- Tipo: Sensor Efecto Hall
- Tipo de sensor: Analógico
- Voltaje de entrada:
- Mínimo: -5 V
- Máximo recomendado: 6.5V
- Máximo: 8 V
- Corriente de entrada: Máximo 10 mA
- Voltaje de salida: Máximo 1.75 mV/Gauss
- Corriente de salida: Máximo 1.5 mA
- Rango magnético: ±1000 Gauss
- Sensibilidad: 1.4 mV/Gauss
- Número de pines: 3
- Encapsulado: Flat TO-92/TO-92S
- Temperatura de operación: -40° a 100°C
- Peso: 0.09 g
- Dimensiones: 4.1 mm x 1.6mm x 17.99 mm
Pines:
- Vin: Voltaje de entrada
- GND: Tierra
- Vout: Voltaje de salida
DOCUMENTACIÓN Y RECURSOS
INFORMACIÓN ADICIONAL
¿Qué es el efecto Hall?
El efecto Hall se produce cuando se ejerce un campo magnético sobre un medio conductor en el que está circulando una corriente, la fuerza magnética al ser ejercida de forma perpendicular al campo magnético, desplaza las cargas hacia los lados del conductor y genera un voltaje transversal llamado voltaje Hall (VH), por lo tanto con un sensor como el SS49E se puede determinar la fuerza que ejerce un campo magnético si se conoce la corriente que se le aplica
¿Cómo usar el sensor SS49E?
El sensor SS49E funciona de forma analógica, es decir que con base en la fuerza que ejerza el campo magnético que le pongamos, nos dará una variación en el voltaje de salida del sensor. Para el siguiente ejemplo determinaremos la densidad del flujo magnético y el voltaje de salida del sensor usando un Arduino UNO.
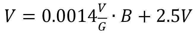
De acuerdo con la hoja de datos del fabricante, el sensor tiene una sensibilidad de 1.4 mV/Gauss, esto quiere decir que por cada unidad de densidad de flujo magnético el voltaje incrementará 1.4 mV. De la misma manera, también nos dice la relación del voltaje de salida con respecto al flujo magnético cuando se alimenta el sensor con 5 V:

Si establecemos una relación para calcular el voltaje, tendríamos la siguiente ecuación:

Donde B es la densidad de campo magnético en Gauss.
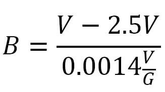
Debido a que SS49E es un sensor analógico, configuraremos el ADC del arduino en el puerto A0 y con base en el valor medido del sensor, calcularemos el voltaje. Para el calculo de la densidad de flujo, haremos un despeje y utilizaremos la siguiente formula:

Armaremos el circuito de acuerdo con el siguiente diagrama:

Y finalmente programaremos en nuestro Arduino IDE usando el siguiente código:
const int sensor = A0; const float sensibilidad = 0.0014; float campoGauss; void setup() { pinMode(sensor, INPUT); Serial.begin(9600); } void loop() { //Promedio de 100 medidas para mayor precisión long medicion = 0; for (int i = 0; i < 100; i++) { int value = medicion += analogRead(sensor); } medicion /= 100; //Calculo del voltaje float outputV = medicion * 5.0 / 1023; Serial.print("Voltaje de salida= "); Serial.print(outputV); Serial.println(" V "); //Calculo de la densidad de flujo magnético campoGauss = (outputV - 2.5) / sensibilidad; Serial.print("Campo magnético en Gauss= "); Serial.print(campoGauss); Serial.println(" G"); delay(1000); }
El sensor es capaz de detectar la dirección en la cual recibe el campo magnético, por eso los valores de la densidad en el monitor serial pueden variar entre valores positivos o negativos, de la misma manera al igual que en la gráfica del comportamiento del voltaje de salida, al haber menos densidad de flujo magnético, el voltaje de salida disminuye y cuando incrementa la densidad de flujo, el voltaje aumenta.


Shield Multifuncional 9 en 1 Compatible Arduino

















Valoraciones
No hay valoraciones aún.